Sprache

Die freie und offene Büro-Software
Verfügbar: Apache OpenOffice 4.1.16
[zurück] [Hauptmenü]  

OpenOffice.org Formel

09 - Beispiele

Bei dieser Fülle von Optionen und Feinheiten lernt man am besten anhand von Beispielen. Hier ist eine Sammlung von kleinen bis sehr komplexen Formeln oder einfach nur Ausdrücken zum näheren Studieren.

Kommando-Eingabefeld Ergebnis
nroot{4}{nroot {3} {1 over 3+x^2} }
nroot{4}{nroot {3} {1 over 3+x^2} }
ldline R_ %alpha rdline =left ldline matrix {sin %alpha # -cos %alpha ## cos %alpha # sin %alpha} right rdline
ldline R_ %alpha rdline =left ldline matrix {sin %alpha # -cos %alpha ## cos %alpha # sin %alpha} right rdline
{partial over {partial t} x(t)}+a(x)=%lambda cdot F(x,t)
{partial over {partial t} x(t)}+a(x)=%lambda cdot F(x,t)
matrix{
a_11 # a_12 # dotsaxis #a_{"1m"} ##
a_21 # a_22 # dotsaxis # a_{"2m"} ##
dotsvert #dotsvert #dotsdown #dotsvert ##
a_{"n1"} # a_{"n2"} # dotsaxis #a_{"nm"}
}
matrix{ a_11 # a_12 # dotsaxis #a_{1m}  ##  a_21 # a_22 # dotsaxis # a_{2m} ##  dotsvert #dotsvert #dotsdown #dotsvert ##  a_{n1} # a_{n2} # dotsaxis #a_{nm}  }
sqrt{1-x} = 1 - x over 2 - 1 over 2 x^2 over 4 - dotslow
sqrt{1-x} = 1 - x over 2 - 1 over 2 x^2 over 4 - dotslow
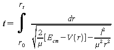
t= size +6 int from {r_0} to {r_t} size -8 {dr over sqrt {2 over %my [E_cm - V(r)] - l^2 over {%my^2 r^2} } }
t= size +6 int
from {r_0} to {r_t} size -8 {dr over sqrt {2 over %my [E_cm - V(r)]
- l^2 over {%my^2 r^2} } }
left ( stack{n # k} right ) = fact n over {fact k cdot fact (n-k)}
left ( stack{n # k} right ) = fact n over {fact k cdot fact  (n-k)}
f(x) = left lbrace matrix {1# x in setZ ## 1 over x # x in setQ ##0 # x in setR } right none
f(x) = left lbrace matrix {1# x in setZ ## 1 over x  # x  in setQ   ##0 # x in setR } right none
[a;a_0,a_1,a_2,dotslow ] = a+{1 over {a_0+1 over {a_1+{1 over {a_2+1 over dotslow}}}}}
[a;a_0,a_1,a_2,dotslow ] = a+{1 over {a_0+1 over {a_1+{1 over {a_2+1 over dotslow}}}}}
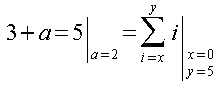
3+a=5 left lline " " csub { a=2} right none = sum from { i=x } to y i left lline " " csub { stack { x = 0 # y= 5 }} right none
3+a=5 left lline

Bleiben noch Fragen offen, könnte Ihnen die Sammlung häufig gestellter Fragen zu dem Formel-Programm weiterhelfen!


[zurück] [Hauptmenü]  

© Copyright 2003, Harald Schilly

This documentation is part of "Erste Schritte: OpenOffice.org Textdokument", which is released under the terms of the PDL.
For full copyright and license info read the index page.

The ASF

Copyright & License | Privacy | Contact Us | Donate | Thanks

Apache, OpenOffice, OpenOffice.org and the seagull logo are registered trademarks of The Apache Software Foundation. The ASF logo is a trademark of The Apache Software Foundation. Other names appearing on the site may be trademarks of their respective owners.